Lompat ke konten Lompat ke sidebar Lompat ke footer
close

Ecuatia De Gradul 1

Ecuatia De Gradul 1

Determinarea abscisei sau a ordonatei punctului de pe grafic. Numărul a se numește …

Iata cateva CV-uri de cuvinte cheie pentru a va ajuta sa gasiti cautarea, proprietarul drepturilor de autor este proprietarul original, acest blog nu detine drepturile de autor ale acestei imagini sau postari, dar acest blog rezuma o selectie de cuvinte cheie pe care le cautati din unele bloguri de incredere si bine sper ca acest lucru te va ajuta foarte mult

Numărul a se numește … Determinarea abscisei sau a ordonatei punctului de pe grafic. Видео ecuatia de gradul 1 канала stefaniu george.

Functia De Gradul I
vizitati articolul complet aici : https://sites.google.com/view/poenaru/lectii-liceu/functia-de-gradul-i
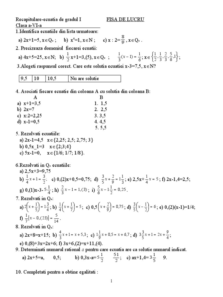
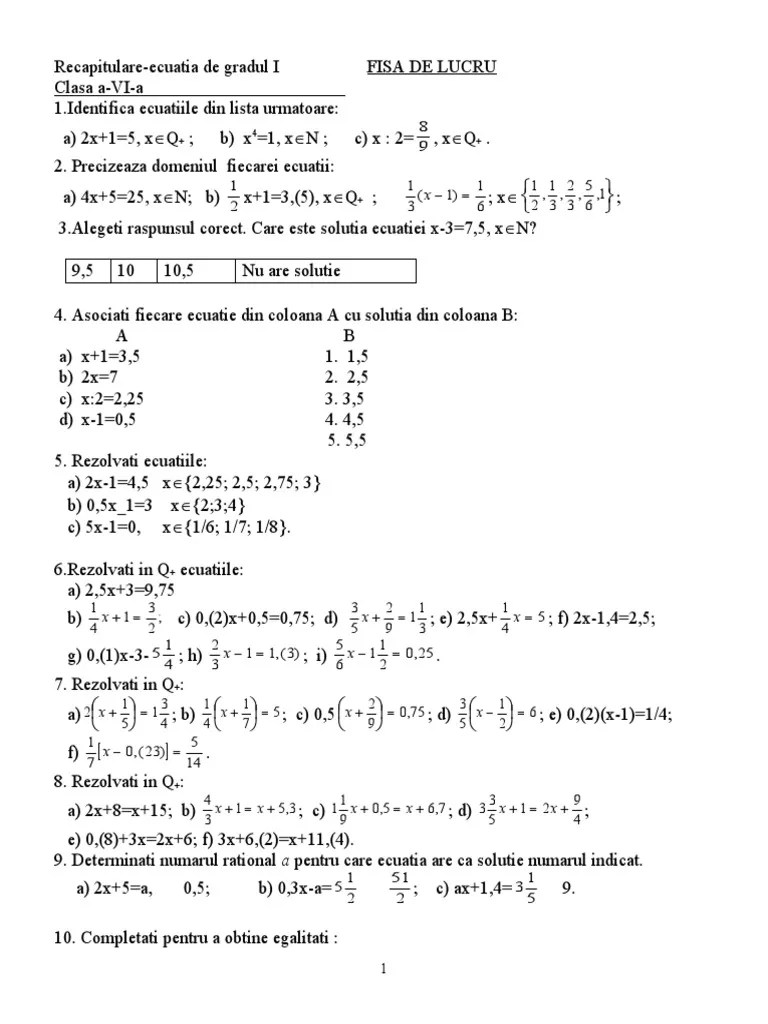
În această lecție vom discuta despre ecuatii de gradul întâi. Sisteme de inecuații de gradul i. Formula discriminantului (delta δ ).

Abscisa punctului de pe grafic care are abscisa egala cu ordonata se obtine rezolvand ecuatia in cazul nostru aceasta ecuatie devine a afla functia de gradul 1 inseamna a afla numerele reale a si b.

Daca discriminantul este pozitiv,atunci ecuatia are 2 radacini reale,diferite intre ele : Rezolvam ecuatia x=1 inlocuim pe x in una din ecuatiile date pentru al afla pe y. Ecuatia cu o necunoscuta are forma generala s(x) =d(x), x m, unde m este multimea de valori necunoscuta x si care se mai numeste domeniu de definitie al ecuatiei.

Ecuatia cu o necunoscuta are forma generala s(x) =d(x), x m, unde m este multimea de valori necunoscuta x si care se mai numeste domeniu de definitie al ecuatiei. A r* , b r se numeste ecuatie de gradul 1 cu o necunoscuta unde : Se rezolva ecuatia de gradul ii.

Ecuatii De Gradul Al Ii Lea By Iuliana Niculaie Issuu
vizitati articolul complet aici : https://issuu.com/iulianacristinaniculaie/docs/ecuatii_de_gradul_al_ii-lea._relatiile_lui_viete.
Sisteme de inecuații de gradul i. Si vom calcula pentru aceasta functie, cand ecuatia ei este mai mare decat 0. Ecuatia de gradul 1 cu o necunoscuta forma generala :

Ecuatii de gradul i cu o necunoscuta.

Dacă ecuaţia are paranteze, le desfacem. Ecuatia de gradul 1 cu o necunoscuta forma generala : A) ecuatia data este o ecuatie simetrica de gradul patru.

Dacă ecuaţia cuprinde numitori, îi eliminăm, înmulţind ambii membri cu c.m.m.m.c. Descompunerea in factori ai unui trinom de gradul al doilea. Ecuația de forma ax+b=0, unde a,b∈r, a≠0 și x∈r se numește ecuație de gradul i cu o necunoscută.

Ecuatie De Gradul Ii
vizitati articolul complet aici : https://mate.info.ro/SoftwareInfo.aspx?ID=19
Forma ecuatiei de gradul ii este: Ecuatii de gradul intai cu o necunoscuta. Ecuatii de gradul i cu o necunoscuta.

A r* , b r se numeste ecuatie de gradul 1 cu o necunoscuta unde :

Ecuatii de gradul intai cu o necunoscuta. Видео ecuatia de gradul 1 канала stefaniu george. Ecuația de forma ax+b=0, unde a,b∈r, a≠0 și x∈r se numește ecuație de gradul i cu o necunoscută.

Posting Komentar untuk "Ecuatia De Gradul 1"